A Mandler 35mm f/2 revive a clássica lente Leica e oferece um corpo metálico de 138g a um preço baixo

A Leica Summicron-M 35 mm f/2 Type 4, também conhecida como o "Rei do Bokeh", ainda é vendida por mais de US$ 1.000 usada e, em boas condições, alguns revendedores pedem mais de US$ 2.000 pela lente que foi fabricada pela Leica entre 1979 e 1996.
Os Top 10
» Os Top 10 Portáteis Multimídia
» Os Top 10 Portáteis de Jogos
» Os Top 10 Portáteis Leves para Jogos
» Os Top 10 Portáteis Acessíveis de Escritório/Empresariais
» Os Top 10 Portáteis Premium de Escritório/Empresariais
» Os Top 10 dos Portáteis Workstation
» Os Top 10 Subportáteis
» Os Top 10 Ultrabooks
» Os Top 10 Conversíveis
» Os Top 10 Tablets
» Os Top 10 Smartphones
» A melhores Telas de Portáteis Analisadas Pela Notebookcheck
» Top 10 dos portáteis abaixo dos 500 Euros da Notebookcheck
» Top 10 dos Portáteis abaixo dos 300 Euros
A lente projetada pelo engenheiro óptico da Leica, Walter Mandler, ainda tem seguidores devido à aparência incomum que produz. Uma empresa chinesa agora copiou a lente e, desde o design da caixa até a estrutura óptica, essa nova versão parece ser muito próxima da original, exceto pelo fato de que a réplica é oferecida a um preço muito mais baixo. Apesar do preço mais baixo, a caixa é feita de alumínio. A lente tem apenas cerca de 1,3 polegadas de comprimento e pesa 4,9 onças, e também é oferecida uma versão em latão que pesa 7,4 onças.
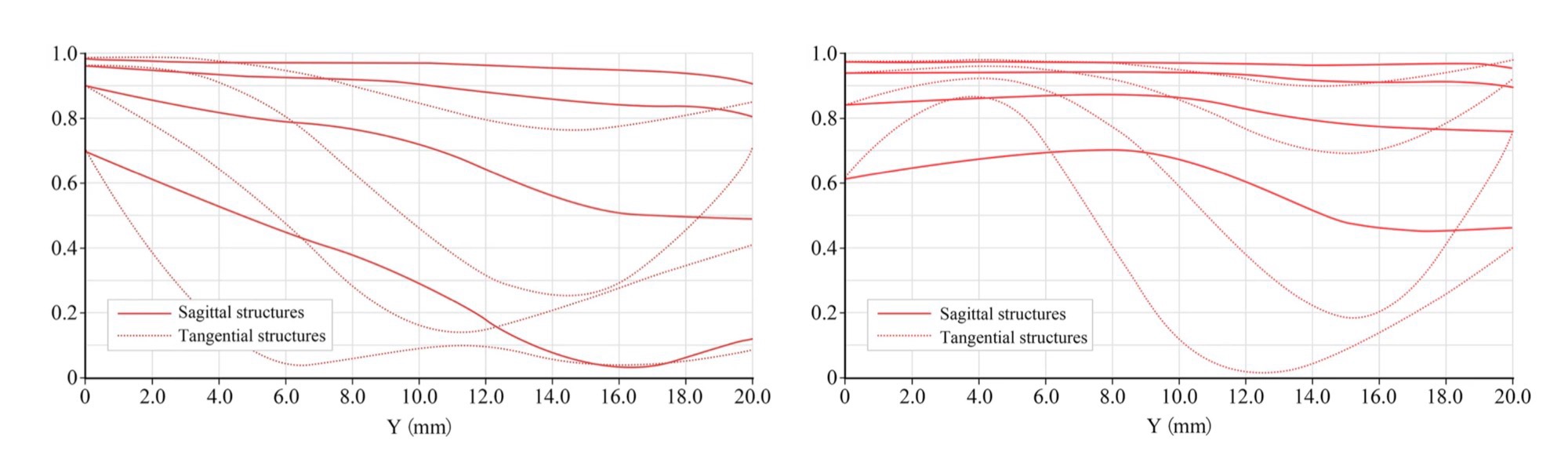
O design de sete elementos em cinco grupos foi ligeiramente atualizado para oferecer melhor qualidade de imagem quando combinado com sensores digitais. No entanto, como mostram as curvas MTF do fabricante, a lente, como a original, tem uma curvatura de campo acentuada, de modo que o centro e os cantos da imagem são mais nítidos do que a área intermediária. Mesmo no centro, a lente não é especialmente nítida quando usada com a abertura máxima.
Preço e disponibilidade
A lente full-frame Mandler 35 mm f/2.0 "7 Elements" já está disponível na loja on-line do fabricante https://mandler.shop/products/mandler-35mm-f2-7-elements-aluminum#product-descriptioncom uma montagem Leica M por US$ 348 ou com uma montagem de parafuso LTM por US$ 378. A versão prateada custa US$ 30 a mais, e os pacotes de acessórios que incluem um para-sol também estão disponíveis por um custo adicional. A versão Leica M está esgotada no momento, mas espera-se que esteja disponível novamente em março. O frete da China é gratuito, mas os preços não incluem possíveis taxas de importação.

















